Index of /facstaff/torn/JHT/ECMWF/2021081900.henri08l

[ICO]NameLast modifiedSizeDescription

[PARENTDIR]Parent Directory   -  
[DIR]f096_intmslp/ 2022-06-27 01:42 -  
[DIR]f120_intmajtrack/ 2022-06-27 01:42 -  
[DIR]f120_pcpeof/ 2021-09-01 01:08 -  
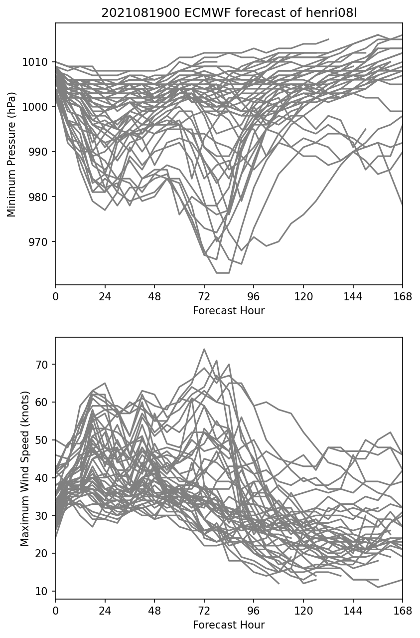
[IMG]intensity.png 2022-05-01 23:06 404K 
[IMG]track.png 2022-05-01 23:06 386K