| Name | Last modified | Size | Description | |
|---|---|---|---|---|
| Parent Directory | - | |||
| f096_intmslp/ | 2025-10-24 09:26 | - | ||
| f096_wndeof/ | 2025-10-24 09:26 | - | ||
| f120_intmajtrack/ | 2025-10-24 09:26 | - | ||
| f120_pcpeof/ | 2025-10-24 09:26 | - | ||
| f120_trackint/ | 2025-10-24 09:26 | - | ||
| f120_wndpcp/ | 2025-10-24 09:26 | - | ||
| inten/ | 2025-10-24 09:26 | - | ||
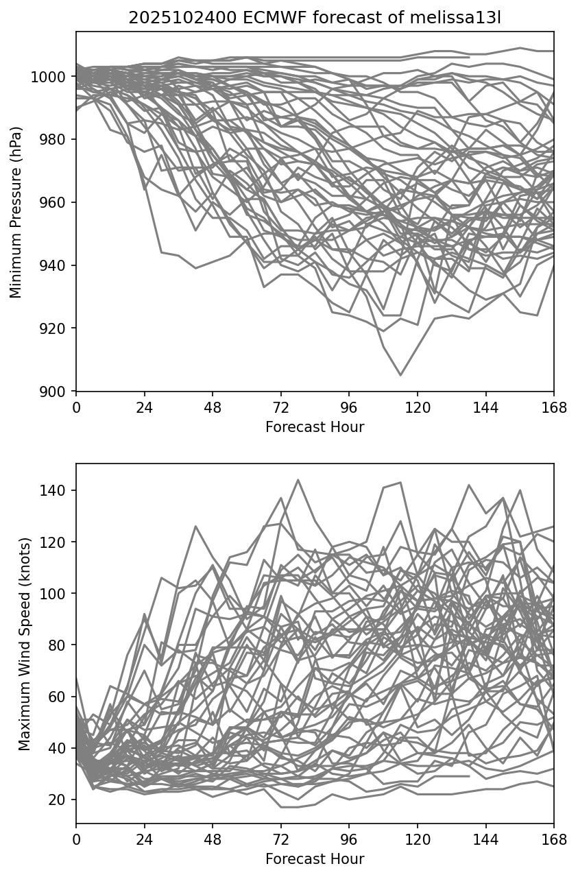
| intensity.png | 2025-10-24 09:21 | 493K | ||
| maxwnd/ | 2025-10-24 09:26 | - | ||
| precip/ | 2025-10-24 09:26 | - | ||
| std/ | 2025-10-24 09:21 | - | ||
| summary/ | 2025-10-24 09:26 | - | ||
| track.png | 2025-10-24 09:21 | 365K | ||
| track/ | 2025-10-24 09:26 | - | ||