| Name | Last modified | Size | Description | |
|---|---|---|---|---|
| Parent Directory | - | |||
| f096_intmslp/ | 2023-09-25 10:00 | - | ||
| f096_wndeof/ | 2023-09-25 10:00 | - | ||
| f120_intmajtrack/ | 2023-09-25 10:00 | - | ||
| f120_trackint/ | 2023-09-25 10:00 | - | ||
| inten/ | 2023-09-25 10:00 | - | ||
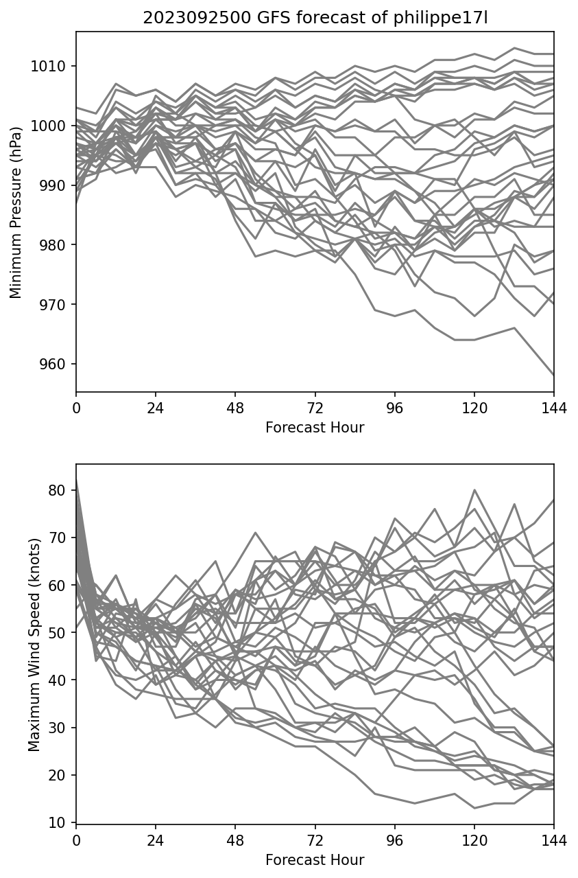
| intensity.png | 2023-09-25 09:04 | 362K | ||
| maxwnd/ | 2023-09-25 10:00 | - | ||
| std/ | 2023-09-25 09:07 | - | ||
| summary/ | 2023-09-25 10:00 | - | ||
| track.png | 2023-09-25 09:04 | 252K | ||
| track/ | 2023-09-25 10:00 | - | ||